문제 설명
n개의 노드가 있는 그래프가 있습니다. 각 노드는 1부터 n까지 번호가 적혀있습니다. 1번 노드에서 가장 멀리 떨어진 노드의 갯수를 구하려고 합니다. 가장 멀리 떨어진 노드란 최단경로로 이동했을 때 간선의 개수가 가장 많은 노드들을 의미합니다.
노드의 개수 n, 간선에 대한 정보가 담긴 2차원 배열 vertex가 매개변수로 주어질 때, 1번 노드로부터 가장 멀리 떨어진 노드가 몇 개인지를 return 하도록 solution 함수를 작성해주세요.
제한 사항
노드의 개수 n은 2 이상 20,000 이하입니다.
간선은 양방향이며 총 1개 이상 50,000개 이하의 간선이 있습니다.
vertex 배열 각 행 [a, b]는 a번 노드와 b번 노드 사이에 간선이 있다는 의미입니다.
입출력 예
| n | vertex | return |
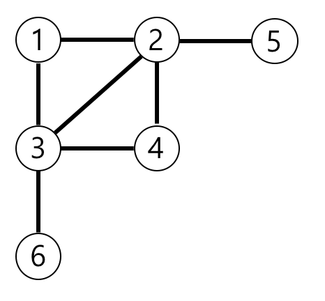
| 6 | [[3, 6], [4, 3], [3, 2], [1, 3], [1, 2], [2, 4], [5, 2]] | 3 |
입출력 예 설명
예제의 그래프를 표현하면 아래 그림과 같고, 1번 노드에서 가장 멀리 떨어진 노드는 4,5,6번 노드입니다.

문제 풀이
가장 먼 노드 문제는 그래프에서 1번 노드로부터 가장 먼 노드들이 몇 개인지 찾는 문제다.
따라서 그래프를 탐색하는 문제임을 알 수 있으므로 BFS를 이용해서 문제를 해결했다.
제한 사항에서 알 수 있듯 vertex 배열 각 행 [a, b]는 a번 노드와 b번 노드 사이에 간선이 있다는 의미이므로
먼저 간선 정보를 이용해 그래프를 만들어주었다.
그런 다음 0으로 초기화된 visited 배열을 노드의 크기와 동일하게 만들어주고
방문하는 노드마다 이전 노드 + 1을 visited 배열에 넣어주도록 해주었다.
이때 중요한 것은 visited의 값이 0일 때만 방문하도록 해주어야 한다는 것이다.
이러한 과정을 완료하면 아래와 같은 결과가 나오는 것을 알 수 있다.
빨간 색 숫자는 visited 배열에 들어있는 값이다.

가장 먼 노드란 visited 배열의 최댓값을 의미하므로 visited 배열의 최댓값을 찾은 뒤
그 개수를 세어주기만 하면 답을 쉽게 찾을 수 있다.
My Code
from collections import deque
def solution(n, edge):
graph = [[] for _ in range(n + 1)]
visited = [0] * (n + 1)
for eg in edge:
a, b = eg[0], eg[1]
graph[a].append(b)
graph[b].append(a)
q = deque()
q.append(1)
visited[1] = 1
while q:
x = q.popleft()
for i in graph[x]:
if not visited[i]:
visited[i] = visited[x] + 1
q.append(i)
max_value = max(visited)
answer = visited.count(max_value)
return answer'프로그래머스 > 고득점 Kit' 카테고리의 다른 글
| [프로그래머스] 체육복 - Python / 파이썬 (0) | 2023.02.16 |
|---|---|
| [프로그래머스] 최소직사각형 - Python / 파이썬 (0) | 2023.01.21 |
| [프로그래머스] 더 맵게 - Python / 파이썬 (0) | 2023.01.18 |
| [프로그래머스] 완주하지 못한 선수 - Python / 파이썬 (1) | 2022.12.11 |
| [프로그래머스] 입국심사 - Python / 파이썬 (0) | 2022.12.11 |
댓글